Задать свой вопрос   *более 50 000 пользователей получили ответ на «Решим всё»

Задача 38348 Найдите наибольшее и наименьшее значения...

Условие

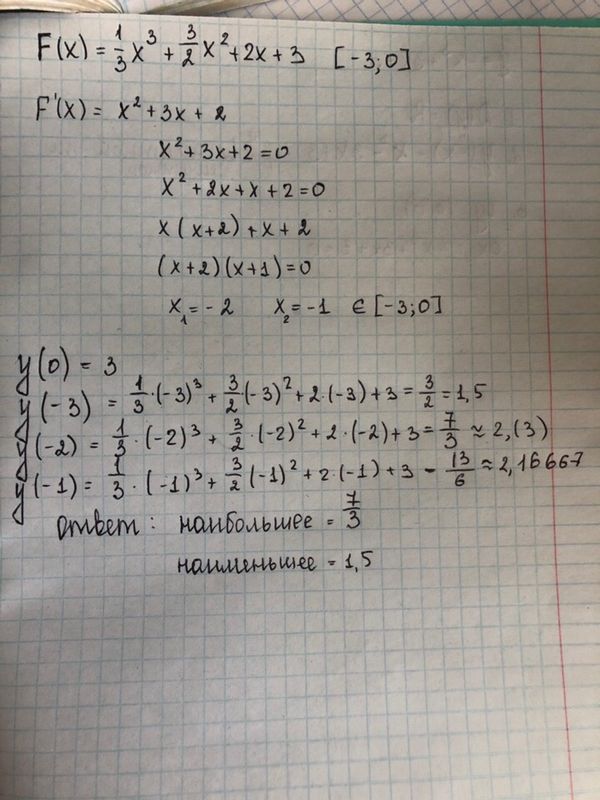
Найдите наибольшее и наименьшее значения функции y = f (x) 3 на соответствующем отрезке
F(x)=1/3x^3+3/2x^2+2x+3,[-3;0]

математика ВУЗ 1845

Все решения

Решение во вложении. Удачи!
Ошиблась во вложении: наибольшее =3

Написать комментарий

Меню

Присоединяйся в ВК