Задать свой вопрос
*более 50 000 пользователей получили ответ на «Решим всё»
Задача 38341
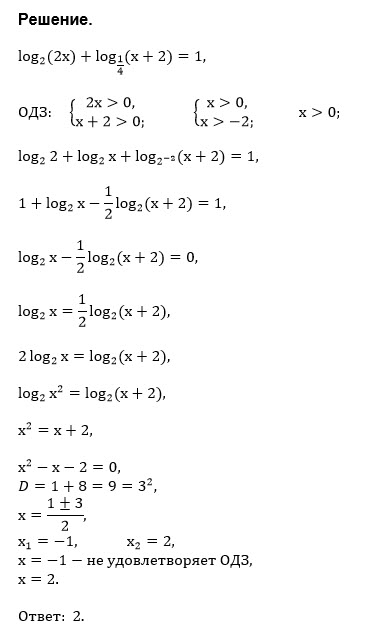
log2 (2x)+log1/4 (х+2)=1...
Условие
natasha31275
2019-06-23 18:10:03
log2 (2x)+log1/4 (х+2)=1
предмет не задан
1798
Все решения
u821511235
2019-06-23 19:35:49
Написать комментарий
Меню
Решим всё
Найти задачу
Категории
Статьи
Тесты
Архив задач
Присоединяйся в ВК