Задать свой вопрос
*более 50 000 пользователей получили ответ на «Решим всё»
Задача 38307
...
Условие
natasha31275
2019-06-22 22:20:36
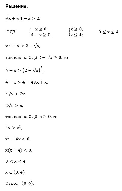
√х +√(4-х) >2
предмет не задан 8-9 класс
951
Решение
u821511235
2019-06-22 22:50:07
★
Написать комментарий
Меню
Решим всё
Найти задачу
Категории
Статьи
Тесты
Архив задач
Присоединяйся в ВК