Задать свой вопрос
*более 50 000 пользователей получили ответ на «Решим всё»
Задача 38271
...
Условие
rimolog
2019-06-21 15:02:38
Всем привет можете помочь подробно написать
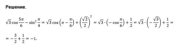
sqrt(3) ⋅ cos 5π/6 -sin^(2) π/4
математика 10-11 класс
511
Решение
u821511235
2019-06-21 16:10:25
★
Написать комментарий
Меню
Решим всё
Найти задачу
Категории
Статьи
Тесты
Архив задач
Присоединяйся в ВК