Задать свой вопрос
*более 50 000 пользователей получили ответ на «Решим всё»
Задача 38264
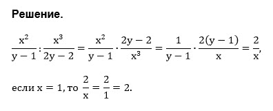
Упростите выражение x 2 y1 : x 3 2y2 и...
Условие
vk478941782
2019-06-21 08:38:29
Упростите выражение
x
2
y−1
:
x
3
2y−2
и найдите его значение при
предмет не задан
5157
Все решения
u821511235
2019-06-21 09:45:36
Написать комментарий
Меню
Решим всё
Найти задачу
Категории
Статьи
Тесты
Архив задач
Присоединяйся в ВК