Задать свой вопрос
*более 50 000 пользователей получили ответ на «Решим всё»
Задача 38240
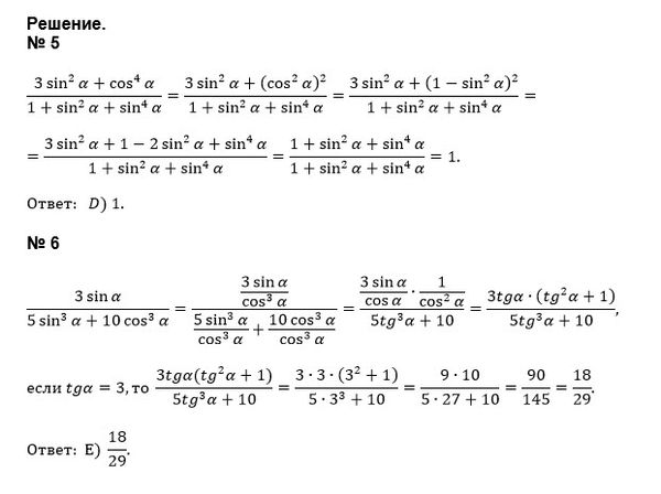
Номер 5 и 6...
Условие
vk255777461
2019-06-19 17:53:56
Номер 5 и 6
математика 8-9 класс
578
Все решения
u821511235
2019-06-19 19:59:19
Написать комментарий
Меню
Решим всё
Найти задачу
Категории
Статьи
Тесты
Архив задач
Присоединяйся в ВК