Задать свой вопрос
*более 50 000 пользователей получили ответ на «Решим всё»
Задача 38081
...
Условие
vk267308357
2019-06-11 13:12:56
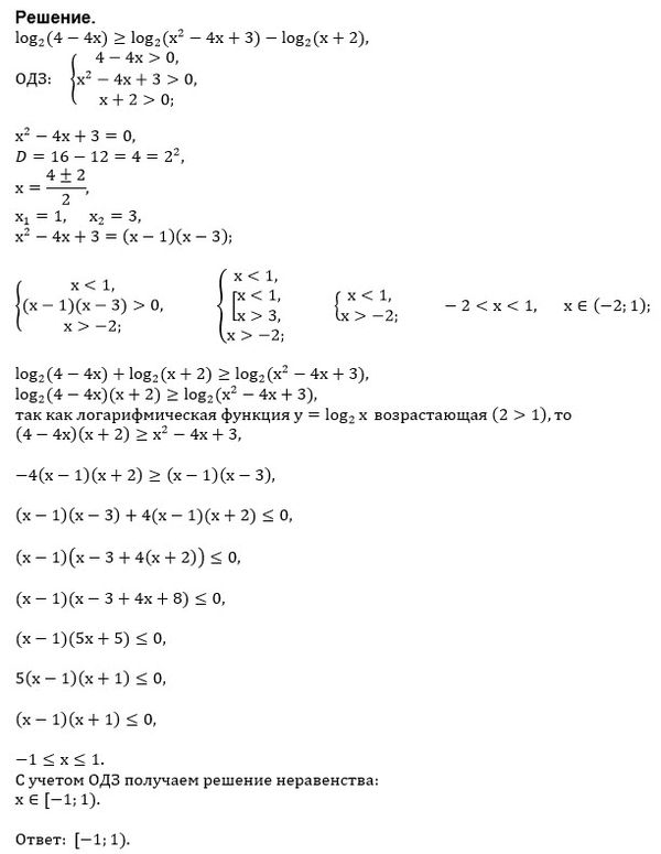
Решить неравенство log2(4-4x) ≥ log2(x^2-4x+3)-log2(x+2)
математика 10-11 класс
2345
Все решения
sova
2019-06-11 16:56:57
Cм. Архив задач.
Задача 38067
u821511235
2019-06-11 15:03:16
Написать комментарий
Категория
ЕГЭ по Математике (проф.)
задание 15 (неравенство)
Меню
Решим всё
Найти задачу
Категории
Статьи
Тесты
Архив задач
Присоединяйся в ВК