Задать свой вопрос   *более 50 000 пользователей получили ответ на «Решим всё»

Задача 38039 В цилиндрическом сосуде площадью сечения...

Условие

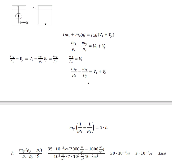
В цилиндрическом сосуде площадью сечения 100 см2 плавает в воде кусок льда, в который вморожен грузик из цин-ка массой 35 г. На сколько миллиметров понизится уровень воды, когда лед растает? Плотность цинка 7000 кг/м3.плотность воды 1000 кг/м3

физика 5888

Все решения

Написать комментарий

Меню

Присоединяйся в ВК