Задать свой вопрос   *более 50 000 пользователей получили ответ на «Решим всё»

Задача 3802 В продажу поступают телевизоры трех...

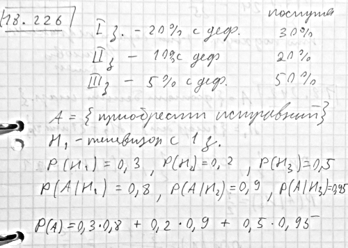
Условие

В продажу поступают телевизоры трех заводов. Продукция первого завода содержит 20 % телевизоров со скрытым дефектом, второго —10 % и третьего — 5 %. Какова вероятность приобрести исправный телевизор, если в магазин поступило 30 % телевизоров с первого завода, 20% — со второго и 50% — с третьего?

математика ВУЗ 15170

Решение



Ответ: 0.895

Написать комментарий

Меню

Присоединяйся в ВК