Задать свой вопрос
*более 50 000 пользователей получили ответ на «Решим всё»
Задача 38017
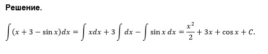
Найти не определённый интеграл...
Условие
hellpmy
2019-06-07 08:20:59
Найти не определённый интеграл (x+3-sin)dx
математика 10-11 класс
693
Все решения
u821511235
2019-06-07 09:47:56
Написать комментарий
Меню
Решим всё
Найти задачу
Категории
Статьи
Тесты
Архив задач
Присоединяйся в ВК