Задать свой вопрос   *более 50 000 пользователей получили ответ на «Решим всё»

Задача 38014 a) (log5x)^2-3log3x-2 = 0 б)...

Условие

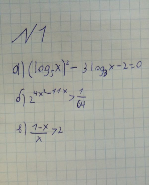
a) (log5x)^2-3log3x-2 = 0
б) 2^(4x^2-11x) > 1/64
в) (1-x)/x > 2

математика 10-11 класс 973

Решение

Все решения

в)
(1-х)/х>2
1-х>2х
1>3х
х<(1/3)
Но тут есть подвох.
1-х>0 х>0
х<1
Получаем:
0<х<1
Учитывая ранние полученное решение:
0<х<(1/3)
Ответ: (0;(1/3))

Написать комментарий

Меню

Присоединяйся в ВК