
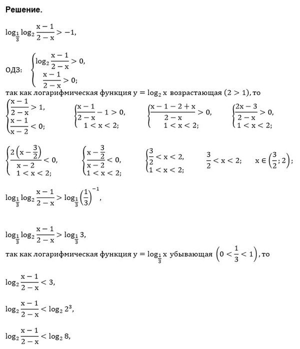
О.Д.З.
log_(2)((x-1)/(2-x)>0
---------------------------------------------------------------------------------------------------------------------
О.Д.З.
x-1>0 x>1
2-x>0 x<2 Это О.Д.З. входящие в О.Д.З.
Итог:
1<х<2
---------------------------------------------------------------------------------------------------------------------
(x-1)/(2-x)>1
x-1>2-x
2x>3
x>1,5
Итог:
1,5<х<2
log_(3^(-1))log_(2)((x-1)/(2-x))>(-1)
-log_(3)log_(2)((x-1)/(2-x))>(-1) | *(-1)
log_(3)log_(2)((x-1)/(2-x))<1
log_(3)A - будет <1 если А будет меньше 3
log_(2)((x-1)/(2-x))<3
2^3>(x-1)/(2-x)
8>(x-1)/(2-x) |*(2-x)
16-8x>x-1
-9x>-17. | :(-9)
x<(17/9)
Учитывая О.Д.З.
1,5<х<(17/9)
Ответ: (1,5;(17/9))