Задать свой вопрос
*более 50 000 пользователей получили ответ на «Решим всё»
Задача 38010
Решите sqrt((2-x)/(x+3)) +...
Условие
vk280770680
2019-06-06 19:40:51
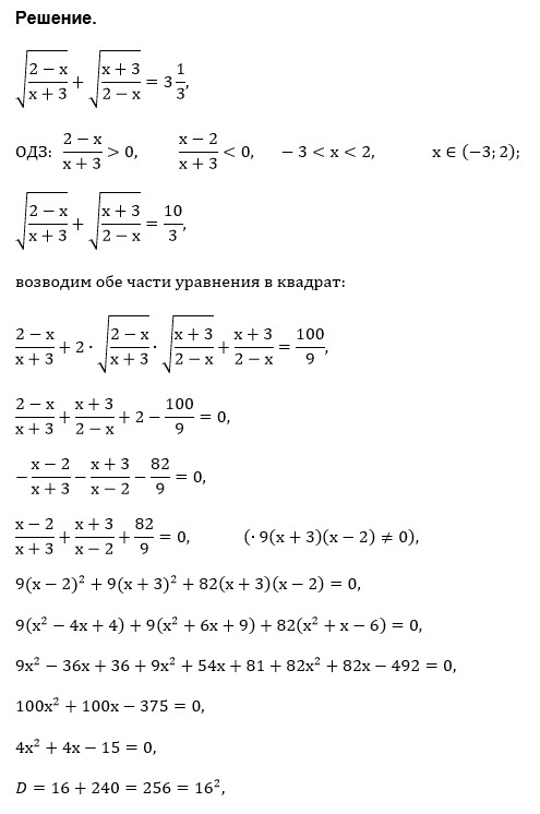
Решите sqrt((2-x)/(x+3)) + sqrt((x+3)/(2-x)) = 3 1/3
математика ВУЗ
806
Решение
u821511235
2019-06-06 22:28:09
★
Написать комментарий
Меню
Решим всё
Найти задачу
Категории
Статьи
Тесты
Архив задач
Присоединяйся в ВК