Задать свой вопрос   *более 50 000 пользователей получили ответ на «Решим всё»

Задача 3801 Жюри состоит из трех судей. Первый и...

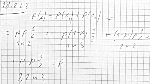
Условие

Жюри состоит из трех судей. Первый и второй судьи принимают правильное решение независимо друг от друга с вероятностью р, а третий судья для принятия решения бросает монету. Окончательное решение жюри принимает по большинству голосов. Какова вероятность того, что жюри примет правильное решение?

математика ВУЗ 6732

Решение



Ответ: p

Написать комментарий

Меню

Присоединяйся в ВК