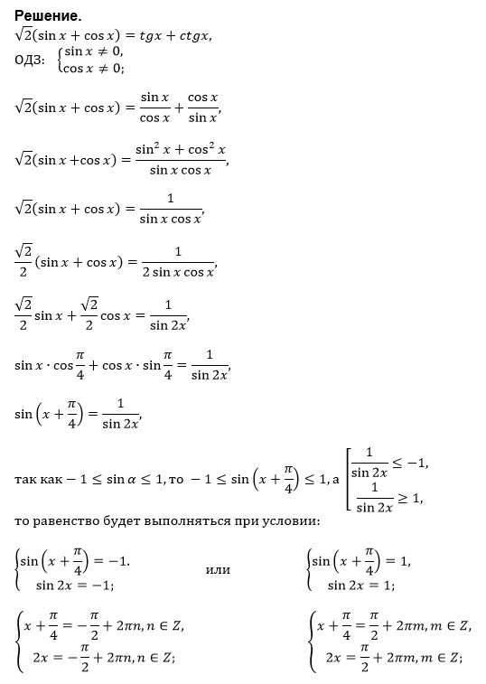
sqrt(2)(sinx+cosx)=tgx+ctgx

ОДЗ:
{sinx ≠ 0
{cosx ≠ 0
tgx + ctgx=(sin^2x+ cos^2x)/(sinxcosx)
tgx+ ctgx=1/(sinx*cosx)
Замена переменной
[b]sinx+ cosx=t[/b]
Возводим в квадрат:
sin^2x+ 2sinx*cosx + cos^2x=t^2 ⇒
2sinxcosx=t^2-1
sinx*cosx=(t^2-1)/2
Уравнение принимает вид:
√2 *t =2/(t^2-1)
{√2* t^3- √2t - 2 =0 ⇒ [b] t^3- t -√2=0[/b]
{t^2-1 ≠ 0 ⇒ [b]t ≠ ± 1[/b]
t^3- t -√2=0
t=√2- корень уравнения, так как (√2)^3-√2-√2=0 - верно.
(t-√2)*(t^2 + √2t + 1)=0
Квадратное уравнение
t^2 +√2t + 1 =0 корней не имеет, т.к D=2-4 < 0
Обратный переход
sinx + cosx=√2
sinx +sin((π/2)-x)=√2
[формула sinα+sinβ =]
2sin(π/4) * cos( x-(π/4))=√2
2*(sqrt(2)/2)*cos( x-(π/4))=√2
cos(x-(π/4))=1
х-(π/4)=2πn, n ∈ Z
[b]х=(π/4)+ 2πn, n ∈ Z[/b] удовлевторяет ОДЗ
О т в е т. (π/4) +2πn, n ∈ Z