Задать свой вопрос   *более 50 000 пользователей получили ответ на «Решим всё»

Задача 3799 Студент может уехать в институт или...

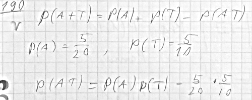
Условие

Студент может уехать в институт или автобусом, который ходит через каждые 20 мин, или троллейбусом, который ходит через каждые 10 мин. Какова вероятность того, что студент, подошедший к остановке, уедет в течение ближайших пяти минут?

математика ВУЗ 11021

Решение



Ответ: 5/8

Написать комментарий

Меню

Присоединяйся в ВК