Задать свой вопрос   *более 50 000 пользователей получили ответ на «Решим всё»

Задача 3798 Из урны, содержащей 6 белых и 4 черных...

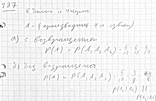
Условие

Из урны, содержащей 6 белых и 4 черных шара, наудачу и последовательно извлекают по одному шару до появления черного шара. Найти вероятность того, что придется производить четвертое извлечение, если выборка производится: а) с возвращением; б) без возвращения.

математика ВУЗ 11837

Решение



Ответ: а) 0.216 б) 1/6

Написать комментарий

Меню

Присоединяйся в ВК