Задать свой вопрос   *более 50 000 пользователей получили ответ на «Решим всё»

Задача 3797 Вероятность попасть в самолет равна 0,4,...

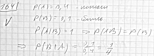
Условие

Вероятность попасть в самолет равна 0,4, а вероятность его сбить равна 0,1. Найти вероятность того, что при попадании в самолет он будет сбит.

математика ВУЗ 8147

Решение



Ответ: 1/4

Написать комментарий

Меню

Присоединяйся в ВК