Задать свой вопрос   *более 50 000 пользователей получили ответ на «Решим всё»

Задача 3795 Один раз подбрасывается игральная кость....

Условие

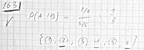
Один раз подбрасывается игральная кость. События: А = {выпало простое число очков}, В = {выпало четное число очков}. Вычислить вероятность Р (А/В).

математика ВУЗ 6910

Решение



Ответ: 1/3

Написать комментарий

Меню

Присоединяйся в ВК