Задать свой вопрос   *более 50 000 пользователей получили ответ на «Решим всё»

Задача 3793 Какова вероятность того, что сумма трех...

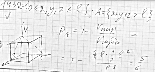
Условие

Какова вероятность того, что сумма трех наудачу взятых отрезков, длина каждого из которых не превосходит l, будет больше l?

математика ВУЗ 9799

Решение



Ответ: 5/6

Написать комментарий

Меню

Присоединяйся в ВК