
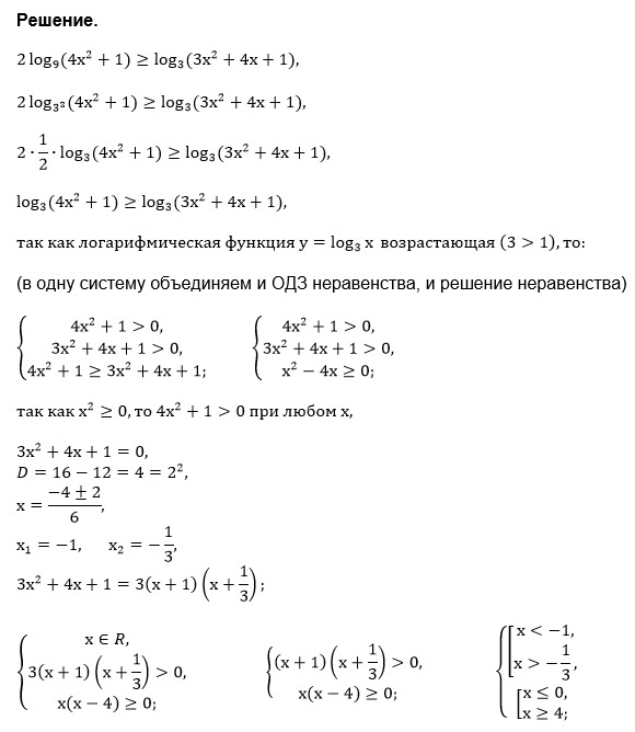
{4x^2+1 > 0 - верно при любом х
{3x^2+4x+1>0 ⇒ D=16-12=4; корни -1 и (-1/3) ⇒ х < -1 или x > -1/3
По формуле перехода к другому основанию
log_(9)(4x^2+1)=log_(3)(4x^2+1)/log_(3)9=(log_(3)(4x^2+1))/2
2log_(9)(4x^2+1)=2*(log_(3)(4x^2+1))/2=log_(3)(4x^2+1)
Неравенство принимает вид:
[b]log_(3)(4x^2+1) ≥ log_(3)(3x^2+4x+1)[/b]
Логарифмическая функция с основанием 3 > 1 возрастающая, значит большему значению функции соответствует большее значение аргумента
4x^2+1 ≥ 3x^2+4x+1
x^2-4x ≥ 0
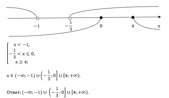
x*(x-4) ≥ 0 ⇒ x ≤ 0 или x ≥ 4
С учетом ОДЗ
[b](- ∞ ;-1) U (-1/3);0] U [4;+ ∞ )[/b]