Задать свой вопрос
*более 50 000 пользователей получили ответ на «Решим всё»
Задача 37896
Решите уравнение(подробно): 5^(2x-1) -...
Условие
vk401845433
2019-06-03 17:19:02
Решите уравнение(подробно):
5^(2x-1) - 5^(2x-3)=4,8
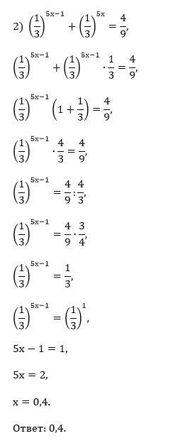
1\3^(5x-1)+1\3^(5x)=4\9
математика 10-11 класс
5858
Решение
u821511235
2019-06-03 17:32:14
★
Написать комментарий
Меню
Решим всё
Найти задачу
Категории
Статьи
Тесты
Архив задач
Присоединяйся в ВК