Задать свой вопрос   *более 50 000 пользователей получили ответ на «Решим всё»

Задача 3788 Десять приезжих мужчин, среди которых...

Условие

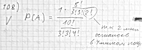
Десять приезжих мужчин, среди которых Петров и Иванов, размещаются в гостинице в два трехместных и один четырехместный номер. Сколько существует способов их размещения? Какова вероятность события А, состоящего в том, что Петров и Иванов попадут в четырехместный номер?

математика ВУЗ 4209

Решение



Ответ: В решение

Написать комментарий

Меню

Присоединяйся в ВК