Задать свой вопрос   *более 50 000 пользователей получили ответ на «Решим всё»

Задача 37835 за время 10 суток из сосуда испарилось...

Условие

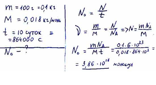
за время 10 суток из сосуда испарилось 100 г воды . сколько в среднем молекул вылетало с поверхности воды за 1 с ? Молярная масса 18 г /моль?

физика 8978

Решение

Все решения

Забыл еще на 24 поделить. Тогда ответ такой же как у лучшего.

Написать комментарий

Меню

Присоединяйся в ВК