Задать свой вопрос   *более 50 000 пользователей получили ответ на «Решим всё»

Задача 37828 Вычислить пределы функций, не пользуясь...

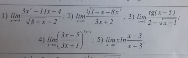
Условие

Вычислить пределы функций, не пользуясь средствами
дифференциального исчисления.

предмет не задан 1314

Решение

1)Неопределенность (0/0)

Умножаем и числитель и знаменатель на
sqrt(8+x)+2

3x^2+11x-4=(3x-1)(x+4)


lim_(x → - 4 )(3x-1)*(x+4)*(sqrt(8+x)+2)/(8+x-4)=

=im_(x → - 4 )(3x-1)(sqrt(8+x)+2)=(-13)*4= [b]-52[/b]

2) Неопределенность ( ∞ / ∞ )

Делим и числитель и знаменатель на х

∛(1-x-8x^3)/x= ∛((1-x-8x^3)/x^3)=∛( (1/x^3)-(x/x^3)-8)

lim_(x → ∞)∛( (1/x^3)-(x/x^3)-8)/(3+(2/х)=

=∛(0-0-8)/(3+0)= [b]-2/3[/b]

3.
Неопределенность (0/0)

Умножаем и числитель и знаменатель на
2+sqrt(x-1)

lim_(x → 5) tg(x-5)*(2+sqrt(x-1))/(4-(x-1))=

=lim_(x → 5) tg(x-5)*(2+sqrt(x-1))/(5-x)=

=lim_(x → 5) tg(x-5)/(-(x-5)) * lim_(x → 5)(2+sqrt(x-1))=

=-1*(2+sqrt(5-1))=-1*(2+2)= [b]-4[/b]

Написать комментарий

Меню

Присоединяйся в ВК