Задать свой вопрос   *более 50 000 пользователей получили ответ на «Решим всё»

Задача 37811 ...

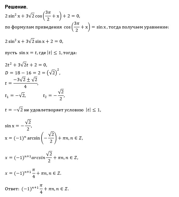
Условие

2sin²x+3√2cos(3π/2+x) +2 =0

математика 10-11 класс 14164

Решение

По формулам приведения
cos((3π/2)+x)=sinx

2sin^2x+3sqrt(2)sinx+2=0
Квадратное уравнение относительно sinx
Замена переменной
sinx=t

2t^2+3sqrt(2)t+2=0
D=(3sqrt(2))^2-4*2*2=18-16=2

t_(1)=(-3sqrt(2)-sqrt(2))/4=-sqrt(2)
t_(2)=(-3sqrt(2)+sqrt(2))/4=-sqrt(2)/2

Обратный переход от t к переменной х:

sinx=-sqrt(2) - уравнение не имеет корней.
Так как
-sqrt(2) < -1
-1 ≤ sinx ≤ 1

sinx=-sqrt(2)/2

x=(-1)^(k) *arcsin(-sqrt(2)/2)+πk, k ∈ Z

arcsin(-sqrt(2)/2)=-π/4

[b]x=(-1)^(k) (-π/4)+πk, k ∈ Z[/b]

о т в е т.(-1)^[b](k+1)[/b] (π/4)+πk, k ∈ Z



Можно записать и две серии ответов (это бывает полезно при отборе корней):
При k=2n
[b]x=(-π/4)+2πn, n ∈ Z [/b]

При k=2n+1
[b]x=(5π/4) +2πn, n ∈ Z[/b]

Все решения

Написать комментарий

Категория

Меню

Присоединяйся в ВК