Задать свой вопрос   *более 50 000 пользователей получили ответ на «Решим всё»

Задача 37809 Вычислить определенный интеграл с...

Условие

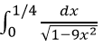
Вычислить определенный интеграл с точностью до двух знаков после запятой

математика 1329

Все решения

Табличный интеграл
∫ du/sqrt(1-u^2)=arcsinu

u=3x
du=3dx

∫ ^(1/4)_(0)dx/sqrt(1-(3x)^2)= (1/3)* ∫ ^(1/4)_(0)d( [b]3x[/b])/sqrt(1-( [b]3x[/b])^2)=

=(1/3)arcsin(3x)|^(1/4)_(0)=(1/3)arcsin(3/4) - (1/3)arcsin0=

= [b](1/3)arcsin(3/4)[/b]

Написать комментарий

Категория

Меню

Присоединяйся в ВК