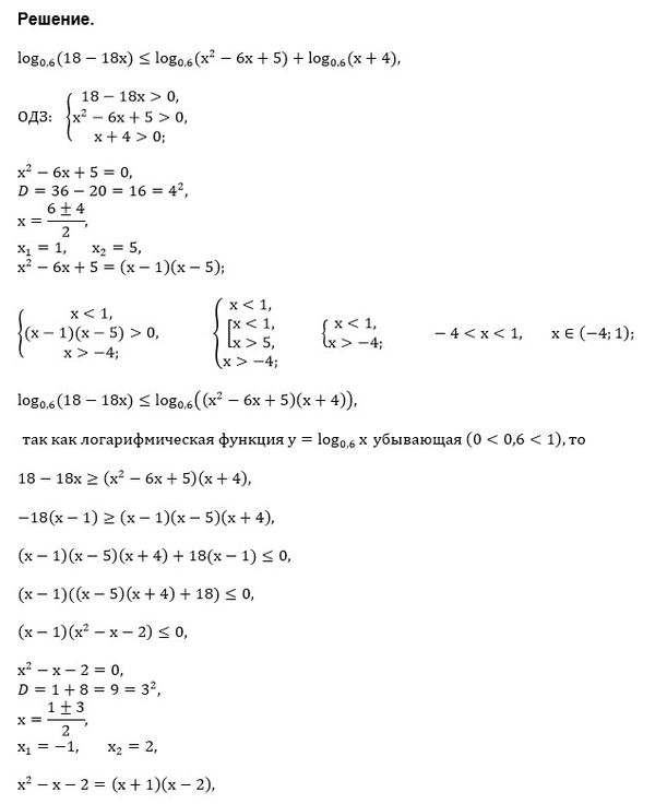
{18-18x>0 ⇒ x < 1
{x^2-6x+5 >0 ⇒ D=36-20=16; корни 1 и 5; ⇒ x < 1 или x > 5
{x+4>0 ⇒ x > -4
[b]ОДЗ: х ∈ (-4;1)[/b]
Cумму логарифмов заменим логарифмом произведения
[b]log_(0,6) (18-18x) ≤ log_(0,6) (x^2-6x+5)*(x+4)[/b]
Логарифмическая функция с снованием (0 < 0,6 <1) убывающая. Большему значению функции соответствует меньшее значение аргумента.
18-18x ≥ (x^2-6x+5)*(x+4)
(x^2-6x+5)*(x+4)+ 18(х-1)≤ 0
(x-1)(x-5)*(x+4) + 18(х-1) ≤ 0
(x-1)*(x^2-x-20+18)≤ 0
(х-1)*(х^2-x-2)≤ 0
D=1-4*(-2)=9
корни
-1 и 2
[b](x-1)*(x+1)*(x-2) ≤ 0[/b]
Решаем неравенство методом интервалов
__-_ [-1] __+__ [1] __-__ [2] _+__
C учетом ОДЗ, согласно которому х ∈ (-4;-1]:
(-4) __-__[-1] _+_ (1)
О т в е т. [b] (-4;-1][/b]


