Задать свой вопрос   *более 50 000 пользователей получили ответ на «Решим всё»

Задача 3779 Из колоды в 52 карты извлекаются наудачу...

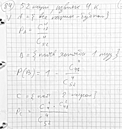
Условие

Из колоды в 52 карты извлекаются наудачу 4 карты. Найти вероятности следующих событий: А = {в полученной выборке все карты бубновой масти}, В = {окажется хотя бы один туз}, С = {появятся ровно 2 пики}

математика ВУЗ 27187

Решение



Ответ: В решение

Написать комментарий

Меню

Присоединяйся в ВК