Задать свой вопрос
*более 50 000 пользователей получили ответ на «Решим всё»
Задача 37772
...
Условие
vk462603348
2019-05-29 17:49:56
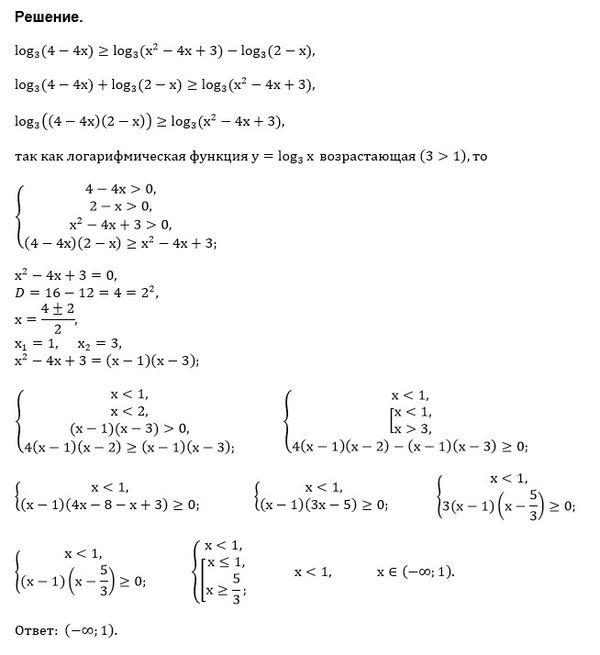
log3(4-4x)≥log3(x^2-4x+3)-log3(2-x)
математика 10-11 класс
2525
Решение
u821511235
2019-05-29 19:27:35
★
Написать комментарий
Меню
Решим всё
Найти задачу
Категории
Статьи
Тесты
Архив задач
Присоединяйся в ВК