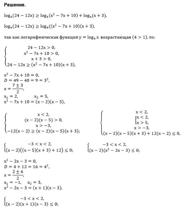
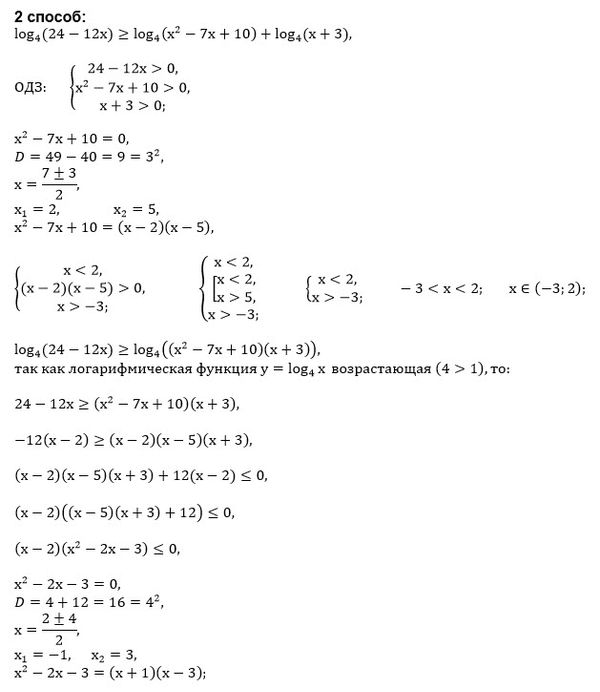
{24-12x>0 ⇒ x < 2
{x^2-7x+10 >0 ⇒ D=49-40=9; корни 2 и 5; ⇒ x < 2 или x > 5
{x+3>0 ⇒ x > -3
ОДЗ: х ∈ (-3;2)
Cумму логарифмов заменим логарифмом произведения
log_(4) (24-12x) ≥ log_(4) (x^2-7x+10)*(x+3)
Логарифмическая функция с снованием (4>1) возрастающая. Большему значению функции соответствует большее значение аргумента.
24-12x ≥ (x^2-7x+10)*(x+3)
(x^2-7x+10)*(x+3)+ 12(х-2) ≤ 0
(x-2)(x-5)*(x+3) + 12(х-2) ≤ 0
(x-2)*(x^2-2x-15+12)≤ 0
(х-2)*(х^2-2x-3)≤ 0
D=4-4*(-3)=16
корни
-1 и 3
(x-2)*(x+1)*(x-3) ≤ 0
Решаем неравенство методом интервалов
__-_ [-1] __+__ [2] __-__ [3] _+__
C учетом ОДЗ
х ∈ (-3;2)
(-3) __-__[-1] _+_ (2)
О т в е т. [b] (-3;-1][/b]


