Задать свой вопрос   *более 50 000 пользователей получили ответ на «Решим всё»

Задача 37751 По координатам вершин пирамиды АВСD...

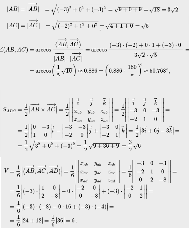
Условие

По координатам вершин пирамиды АВСD средствами векторной алгебры
найти:
1) длины ребер АВ и АС;
2) угол между ребрами АВ и АС;
3) площадь грани АВС;
4) проекцию вектора на ;
5) объем пирамиды.
А(2;2;3)
В(-1;2;0)
С(0;3;3)
D(2;4;-5)

предмет не задан 3506

Решение

Написать комментарий

Меню

Присоединяйся в ВК