Задать свой вопрос
*более 50 000 пользователей получили ответ на «Решим всё»
Задача 37745
...
Условие
vk224741235
2019-05-29 12:20:44
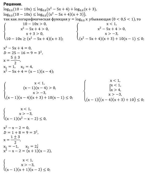
log 0.5 (10-10x) ≤ log 0.5(x^(2)-5x+4)+log 0.5(x+3)
математика 10-11 класс
12136
Решение
u821511235
2019-05-29 14:00:04
★
Написать комментарий
Меню
Решим всё
Найти задачу
Категории
Статьи
Тесты
Архив задач
Присоединяйся в ВК