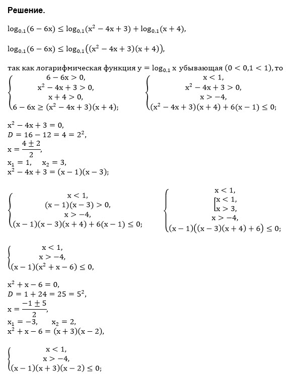
{x^2-4x+3 >0 ⇒ D=16-12=4; корни 1 и 3; ⇒ x < 1 или x >3
{x+4>0 ⇒ x > -4
ОДЗ: х ∈ (-4;1)
Cумму логарифмов заменим логарифмом произведения
log_(0,1) (6-6x) ≤ log_(0,1) (x^2-4x+3)*(x+4)
Логарифмическая функция с снованием (0 < 0,1 < 0) убывающая. Большему значению функции соответствует меньшее значение аргумента.
6-6x ≥ (x^2-4x+3)*(x+4)
(x^2-4x+3)*(x+4)+ 6(х-1) ≤ 0
(x-1)(x-3)*(x+4) + 6(х-1) ≤ 0
(x-1)*(x^2+x-12+6)≤ 0
(х-1)*(х^2+x-6)≤ 0
D=1-4*(-6)=25
корни
-3 и 2
(x-1)*(x+3)*(x-2) ≤ 0
Решаем неравенство методом интервалов
_-__ [-3] __+__ [1] _-__ [2] _+__
на ОДЗ
х ∈ (-4;1)
(-4) __-__[-3] _+_ (1)
О т в е т. [b] (-4;-3][/b]


