Задать свой вопрос   *более 50 000 пользователей получили ответ на «Решим всё»

Задача 3769 Если можно, пожалуйста,для примера -...

Условие

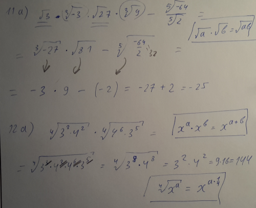
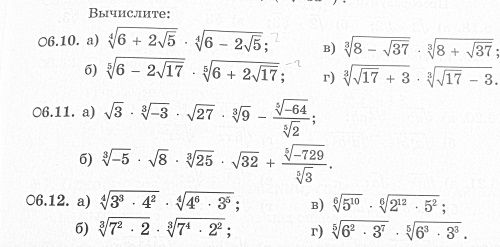
Если можно, пожалуйста,для примера - №№11-12 - по одной любой букве

математика 10-11 класс 1424

Решение

Все решения

6.12 в)6√510*212*52 = 6√512*212 = 6√ 1012 = 102 = 100
6.11 б)3√125 * √ 256 + 5√ - √(729/ 3) = 5*16 + 3 = 83

Написать комментарий

Меню

Присоединяйся в ВК