Задать свой вопрос   *более 50 000 пользователей получили ответ на «Решим всё»

Задача 37612 ...

Условие

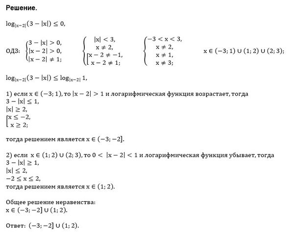
log(|x-2|)(3-|x|) ≤ 0

математика 10-11 класс 1464

Решение

ОДЗ:
{3-|x| > 0 ⇒ |x| < 3
{|x-2|>0 ⇒ x ≠ 2
{|x-2| ≠ 1 ⇒ x-2 ≠ -1 и х-2 ≠ 1 ⇒ х ≠ 1 и х ≠ 3

ОДЗ : x ∈ (-3;1) U(1;2)U(2;3)

log_(|x-2|)(3-|x|) ≤ log_(|x-2|)1

[b]Если [/b]
|x-2| >1 ⇒ x-2 < -1 или x-2 >1⇒ x < 1 или x > 3

Логарифмическая функция с основанием больше 1 возрастает.
Большему значению функции соответствует большее значение аргумента
3-|x| ≤ 1 ⇒ |x| ≥ 2 ⇒ x ≤ -2 или x ≥ 2

В этом случае решением является x ≤ -2
C учетом ОДЗ: [b] (-3;-2][/b]

[b]Если [/b]
0 <|x-2| <1⇒ -1 < x-2 < 1, x ≠ 0 ⇒ 1 < x < 3; x≠ 0

Логарифмическая функция с основанием меньше 1 убывает.
Большему значению функции соответствует меньшее значение аргумента
3-|x| ≥ 1 ⇒ |x| ≤ 2 ⇒ -2 ≤ х≤ 2
В этом случае решением является (1;2]
C учетом ОДЗ: [b] (1;2)[/b]

О т в е т. - объединяем ответы двух случаев [b](-3;-2] U (1;2)[/b]

[b]Второй способ[/b]

Применяем метод рационализации логарифмических неравенств:

(|x-2|-1)*(3-|x| -1) ≤ 0

(|x-2|-1)*(2-|x|) ≤ 0

Раскрываем модули
Подмодульные выражения обращаются в 0 в точках x=0 и х=2

Эти точки разбивают числовую прямую на три промежутка
(-∞;-0) ; (0;2) и (2;+∞)
C учетом ОДЗ на
[b](-3;0[/b]]

|x-2|=-x+2
|x|=-x

(-x+2-1)*(2+x) ≤ 0
(x-1)(x+2) ≥ 0
x ≤ -2 или x ≥ 1

С учетом рассматриваемого интервала (-3;0] о т в е т. (-3;-2]

на (0;2]
C учетом ОДЗ на [b](0;1)U(1;2)[/b]

|x-2|=-x+2
|x|=x

(-x+2-1)*(2-x) ≤ 0
(х-1)(х-2) ≤ 0
1 ≤x ≤ 2

С учетом рассматриваемого интервала о т в е т. (1;2)

[b]на (2;3)[/b]
|x-2|=x-2
|x|=x
(x-2-1)(2-x) ≤ 0
(x-3)(x-2) ≥0
x ≤ 2 или x ≥ 3
С учетом рассматриваемого интервала неравенство не имеет решений

О т в е т. [b](-3;-2] U (1;2)[/b]

Все решения

Написать комментарий

Категория

Меню

Присоединяйся в ВК