Задать свой вопрос   *более 50 000 пользователей получили ответ на «Решим всё»

Задача 37602 Гипотенуза прямоугольного треугольника...

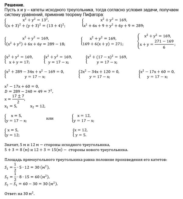
Условие

Гипотенуза прямоугольного треугольника равна 13 м., если каждый катет увеличить на 3 м., то гипотенуза увеличится на 4 м. На сколько квадратных метров увеличится площадь этого прямоугольного треугольника?

математика 8-9 класс 2315

Решение

Пусть один катет х, второй у.
По теореме Пифагора
[b]x^2+y^2=13^2[/b]

Увеличиваем каждый катет на 3:
(х+3) и (у+3) -катеты,
тогда 13+4=17 - гипотенуза
[b](x+3)^2+(y+3)^2=17^2[/b]

Первоначальная площадь
S_(1)=xy/2
Площадь после изменения длин
S_(2)=(x+3)*(y+3)/2

[b]S_(2)-S_(1)[/b]=(x+3)(y+3)/2-xy/2=(1/2)*(xy+3x+3y+9-xy)= [b]=(3/2)*(x+y+3)[/b]

Значит из системы двух уравнений

{x^2+y^2=13^2
{(x+3)^2+(y+3)^2=17^2
надо найти только сумму х+у

{x^2+y^2=169
{x^2+6х+9 +y^2+6y+9=289

Подставляем 169 из первого уравнения вместо x^2+y^2

169+6x+9+6y+9=289
6*(х+у)=102
x+y=17

S_(2)-S_(1)=(3/2)*(x+y+3)=(3/2)*(17+3)=30

О т в е т. [b] на 30 кв. м[/b]


Все решения

Написать комментарий

Меню

Присоединяйся в ВК