Задать свой вопрос   *более 50 000 пользователей получили ответ на «Решим всё»

Задача 3760 Даны вершины тетраэдра A(2; 3; 1), B(4;...

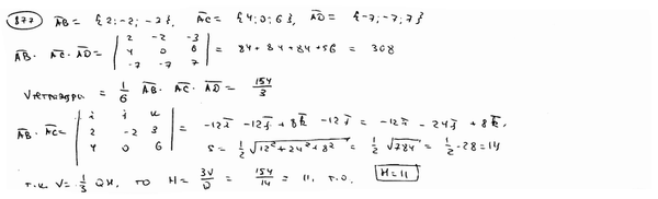
Условие

Даны вершины тетраэдра A(2; 3; 1), B(4; 1; -2), C(6; 3; 7), D(-5; -4; 8). Найти длину его высоты, опущенной из вершины D.

математика ВУЗ 56294

Решение



Ответ: 11

Написать комментарий

Меню

Присоединяйся в ВК