Задать свой вопрос   *более 50 000 пользователей получили ответ на «Решим всё»

Задача 3758 Вычислив внутренние углы треугольника с...

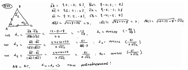
Условие

Вычислив внутренние углы треугольника с вершинами A(1; 2; 1), B(3; -1; 7), C(7; 4; -2), убедиться, что этот треугольник равнобедренный.

математика ВУЗ 31118

Решение



Ответ: В решение

Вопросы к решению (1)

Написать комментарий

Меню

Присоединяйся в ВК