
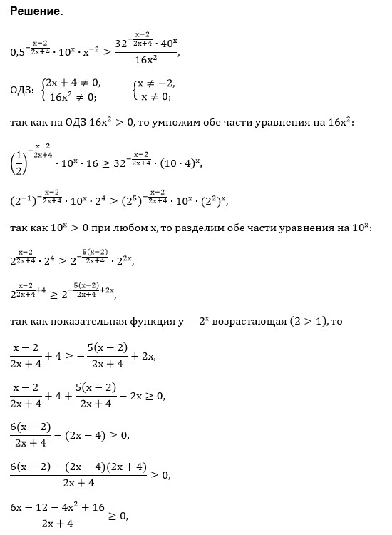
{x ≠ 0
{2x+4≠ 0 ⇒ x ≠ -2
По свойствам степени:
0,5^(-(x-2)/(2x+4))=(2^(-1))^(-(x-2)/(2x+4))=2^((x-2)/(2x+4))
40^(x)=(10*4)^(x)=10^(x)*4^(x)
32^(-(x-2)/(2x+4))=(2^(5))^(-(x-2)/(2x+4))=2^(-5(x-2)/(2x+4))
4^(x)=(2^2)^(x)=2^(2x)
1/16=1/2^(4)=2^(-4)
x^(-2)=1/x^2
Неравенство примет вид:
2^((x-2)/(2x+4)) * 10^(x)/x^2 ≥ 2^(–5(x-2)/(2x+4)) *2^(2x)*10^(x)*2^(-4)/x^2
10^x > 0 при любом
можно сократить на
10^(x)/ x^2
2^((x-2)/(2x+4)) ≥ 2^(–5(x+2)/(2x+4)+2x-4)
при этом помним, что х ≠ 0
Показательная функция с основанием 2 возрастает, поэтому
(х–2)/(2x+4) ≥ -5(x-2)/(2x+4) + 2x - 4;
((х–2)/(2x+4))+(5(х–2)/(2x+4)) -2(x-2) ≥0;
6(x-2)/(2x+4)- 2(x-2) ≥0;
(x-2)*(6-2*(2x+4))/(2x+4) ≥0;
(x-2)(-4x-2)/(2x+4) ≥0
Решаем методом интервалов
Нули числителя:
х-2=0 или -4х-2=0
х=2 или х=-1/2
Отмечаем сплошным кружком ( здесь квадратные скобки)
Нули знаменателя:
2x+4=0
x=-2
Отмечаем пустым кружком ( здесь круглые скобки)
___–___ (–2) ____ [–1/2] _–_ (0) ________–____ [2] _____
О т в е т ( – ∞ ;–2) U [–1/2;0) U (0;2]