решение неравенства на
числовой прямой и записать
ответ с помощью обозначений:
1) 17 + х > 37
2) 5 – х ≤ 1
3) 1 + 6х < 7
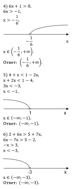
4) 6х + 1 > 0
5) 4 + х < 1 – 2х
6) 2 + 6х > 5 + 7х
x > 37 - 17
x> 20
___ (0) _____________ (20) /////////////////
Круглая скобка пустой кружок, квадратная заполненный.
О т в е т. (20;+∞ )
2) 5 – х ≤ 1
-х ≤ 1-5
-х ≤ -4
х ≥4
___ (0) _____ [4]///////////////
О т в е т. [4;+∞ )
3) 1 + 6х < 7
6x < 7-1
6x <6
x <1
\\\\\\\\\\\\ (1) _____
О т в е т. (-∞;1)
4) 6х + 1 > 0
6x > -1
x> (-1/6)
________ (-1/6) /////////////////
О т в е т. (-1/6;+∞ )
5) 4 + х < 1 – 2х
x + 2x < 1-4
3x < -3
x< -1
\\\\\\\\\\\\ (-1) _____
О т в е т. (-∞;-1)
6) 2 + 6х > 5 + 7х
6x-7x > 5-2
-x > 3
x< -3
\\\\\\\\\\\\ (-3) _____
О т в е т. (-∞;-3)
