


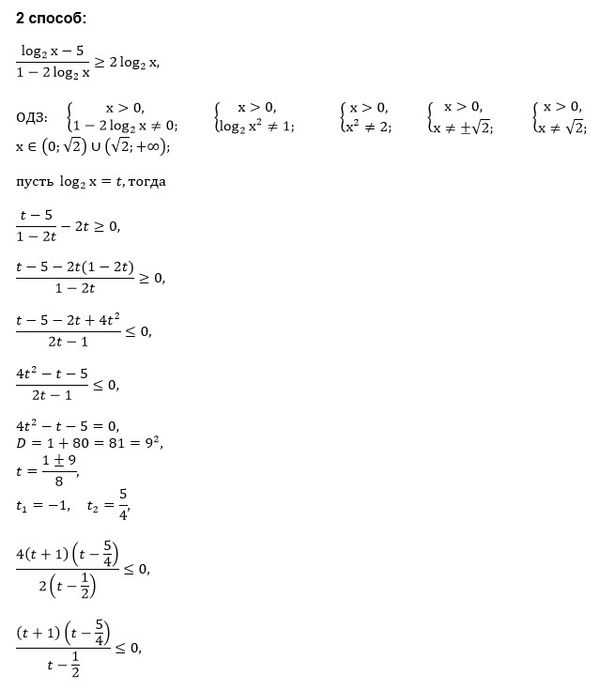
{x>0
{1-2log_(2)x ≠ 0 ⇒ log_(2)x ≠ 1/2; x ≠ sqrt(2)
Замена переменной:
log_(2)x=t
Решаем обычное дробно- рациональное неравенство.
(t-5)/(1-2t) ≥ 2t
(t-5)/(1-2t) -2t ≥ 0
(t-5-2t+4t^2)/(1-2t) ≥ 0
(4t^2-t-5)/(1-2t) ≥ 0
(4t^2-t-5)/(2t-1)≤ 0
Решаем методом интервалов.
Находим нули числителя:
D=1-4*4*(-5)=81
t_(1)=-1 t_(2)=5/4
Отмечаем их на числовой прямой затушеванным кружком.
Находим нули числителя:
2t-1=0
t=1/2
Отмечаем на числовой прямой незаполненным, пустым кружком.
Расставляем знаки:
Cправа от наибольшей точки +, далее знаки чередуем
_-__ [-1] __+_ (1/2) ___-___ [5/4] __+__
t ≤-1 или (1/2) < t ≤ 5/4
Обратная замена:
log_(2)x ≤ -1 или (1/2) < log_(2)x ≤ 5/4
С учетом ОДЗ:
0 < x ≤1/2 или sqrt(2) < x ≤ 2^(5/4)=2*2^(1/4)
О т в е т. (0; 1/2] U (sqrt(2); 2*2^(1/4)]