Задать свой вопрос
*более 50 000 пользователей получили ответ на «Решим всё»
Задача 37534
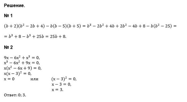
1.выполните действия:...
Условие
feoktd26
2019-05-24 08:48:35
1.выполните действия: (b+2)(b^2-2b+4)-b(b-5)(b+5) 2.Найдите корни уравнения: 9x-6x^2+x^3=0
математика 6-7 класс
2218
Все решения
u821511235
2019-05-24 11:30:45
Написать комментарий
Меню
Решим всё
Найти задачу
Категории
Статьи
Тесты
Архив задач
Присоединяйся в ВК