Задать свой вопрос
*более 50 000 пользователей получили ответ на «Решим всё»
Задача 37492
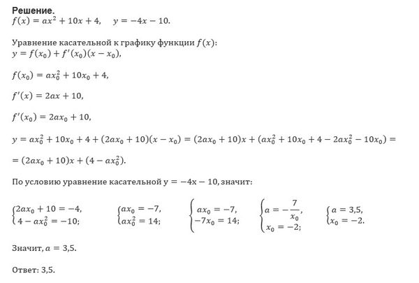
К графику функции f(x)=ax2+10x+4...
Условие
vk205355583
2019-05-23 10:28:34
К графику функции f(x)=ax2+10x+4 проведена касательная y=-4x-10. Найдите коэффициент а.
математика 10-11 класс
1959
Все решения
u821511235
2019-05-23 13:40:51
Написать комментарий
Меню
Решим всё
Найти задачу
Категории
Статьи
Тесты
Архив задач
Присоединяйся в ВК