Треугольники равны.
Обозначим острый угол α
tg α =2/10=0,2=1/5
ctgα=1/tgα=5
∠ AOB=90 ° -2 α
tg ∠ AOB=tg(90 ° -2arctg0,2)=по формулам приведения
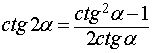
=ctg(2arctg0,2)= применяем формулу котангенса двойного угла=
=(5^2-1)/2*5=(25-1)/10=2,4
О т в е т. [b]2,4[/b]
