Задать свой вопрос
*более 50 000 пользователей получили ответ на «Решим всё»
Задача 37362
B 8,9,10 n=11...
Условие
vk521041421
2019-05-21 04:42:18
B 8,9,10 n=11
математика ВУЗ
726
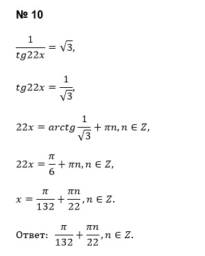
Решение
u821511235
2019-05-21 07:23:13
★
Написать комментарий
Меню
Решим всё
Найти задачу
Категории
Статьи
Тесты
Архив задач
Присоединяйся в ВК