Задать свой вопрос
*более 50 000 пользователей получили ответ на «Решим всё»
Задача 37333
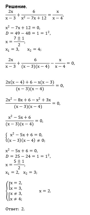
2x/X-3+6/X2-7X+12=X/X-4...
Условие
vk62850864
2019-05-20 21:04:49
2x/X-3+6/X2-7X+12=X/X-4
математика 8-9 класс
1030
Все решения
u821511235
2019-05-20 22:40:06
Написать комментарий
Меню
Решим всё
Найти задачу
Категории
Статьи
Тесты
Архив задач
Присоединяйся в ВК