Задать свой вопрос
*более 50 000 пользователей получили ответ на «Решим всё»
Задача 37322
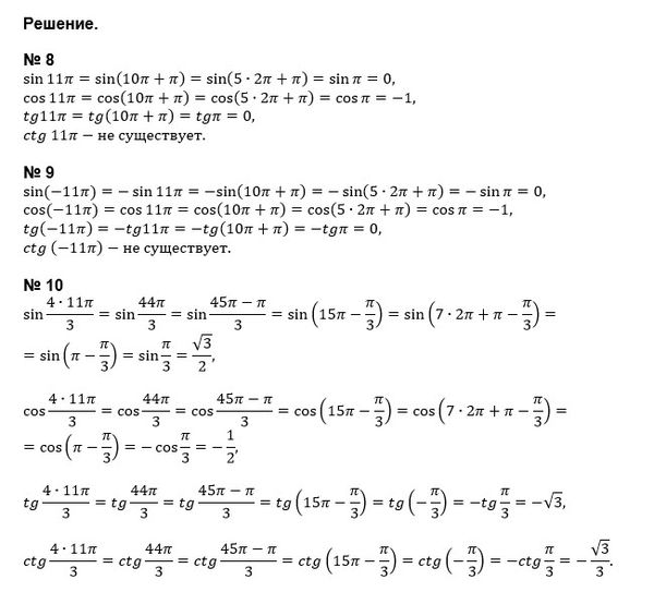
Номер a 8,9,10 N=11...
Условие
vk521041421
2019-05-20 16:06:10
Номер a 8,9,10 N=11
предмет не задан
785
Решение
u821511235
2019-05-21 00:43:11
★
Написать комментарий
Меню
Решим всё
Найти задачу
Категории
Статьи
Тесты
Архив задач
Присоединяйся в ВК