Задать свой вопрос   *более 50 000 пользователей получили ответ на «Решим всё»

Задача 37311 ...

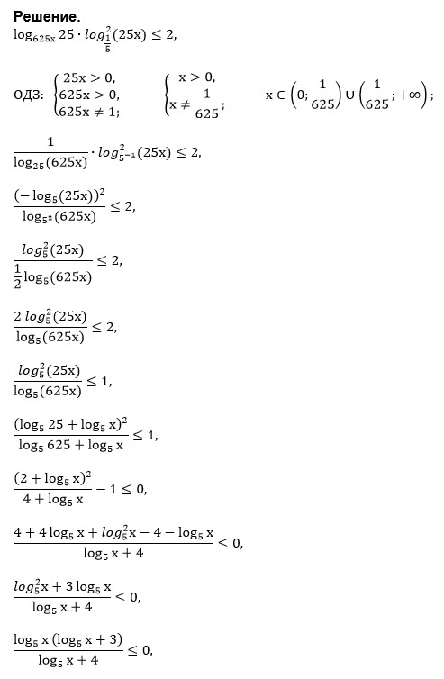
Условие

Решите неравенство
log(625x) 25 * log^2 (1/5) (25x) ≤2
(log 25 по основанию 625х * log в квадрате 25х по основанию 1/5 ≤2)

математика 10-11 класс 6687

Решение

Написать комментарий

Категория

Меню

Присоединяйся в ВК