Задать свой вопрос
*более 50 000 пользователей получили ответ на «Решим всё»
Задача 37308
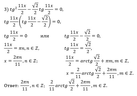
Под буквой B 1-3 N=11...
Условие
vk521041421
2019-05-20 10:08:28
Под буквой B 1-3
N=11
предмет не задан
632
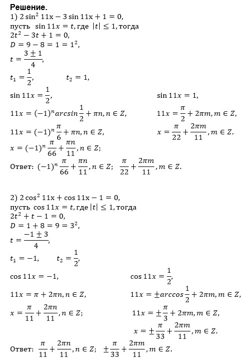
Решение
u821511235
2019-05-20 14:05:40
★
Написать комментарий
Меню
Решим всё
Найти задачу
Категории
Статьи
Тесты
Архив задач
Присоединяйся в ВК